Rozważania nieco akademickie o zegarkowym WR
Wstęp
W zegarkowych oznaczeniach poziomu wodoszczelności jest nieco zamieszania ani chybi wynikłego z dość niejednoznacznego systemu jaki używany jest przez producentów zegarków do oznaczania tej właśnie właściwości zegarka.
Zasadniczo, wszystko wydaje się być proste. Zegarki oznaczane są zazwyczaj przez podanie parametru WR w metrach. Na przykład WR50m. Co sugerowało by, że tak oznaczony zegarek nadaje się do schodzenia pod wodę do takiej właśnie głębokości.
Jak się okazuje, niektóre przynajmniej marki nie do końca tak to definiują. Przywołany tutaj przykład WR50m ma bowiem odpowiadać odporności zegarka na ingres wody gdy ta wywiera na tenże zegarek takie ciśnienie jak 50m słup wody. Czyli 50 ATM, tudzież 6,07MPa.
Czyli ciągle ładnie i spójnie. Kłopot pojawia się, gdy takie WR50m jest później opisane w instrukcji jako nadające się do delikatnego zanurzania w wodzie czy do brania prysznica. Czemu zatem tak słabo skoro mamy przecież odporność na ciśnienia jakie możemy spotkać aż 50m pod lustrem wody??
Jak rozumiem, wynika to (niby) z tego, że badania zegarków mają charakter statyczny – czyli bez żadnego dodatkowego przyspieszenia a co za tem prędkości zegarka. Innymi słowy – przy nieruchomym zegarku. A to właśnie (jak rozumiem) ruch zegarka w wodzie ma być źródłem dodatkowego ciśnienia dynamicznego, które może nawet na minimalnej głębokości dać efekt jak zejście poniżej 50m w ujęciu statycznym.
Jes to dla mnie nieco intrygujące. Nie mam za bardzo doświadczenia z tematami hydrodynamiki bo to nie moja dziedzina inżynierii, jednak myślę, że mogę sobie pozwolić na pewne akademickie rozważania. Tak dla samej przyjemności pobawienia się równaniami.

Teza
Jakich poziomów ciśnień dynamicznych możemy się zatem spodziewać w typowych, lub takich jakie za typowe uznamy, aktywnościach wodnych jakie możemy mieć okazję uprawiać z zegarkami?
Postaram się rozważyć kilka, uproszczonych modelowo, wakacyjnych zachowań wodnych na jakie możemy narażać nasze zegarki.
Na trzy skaczemy!
Czyli coś co możemy robić dość często. Skoki do wody. Tutaj mamy zdecydowanie do czynienia z sytuacją dalece niestatyczną. Jak się za to zabrać?
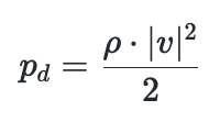
Nie powinno być to na szczęście nazbyt trudne przynajmniej w pierwszym przyblizeniu. Skorzystajmy zatem ze wzoru na ciśnienie dynamiczne jaki możemy znaleźć w literaturze:

Czyli wartość tegoż ciśnienia dynamicznego pdpd jest wprost proporcjonalna do gęstości ośrodka ρρ i proporcjonalna do kwadratu wartości prędkości v2v2. Rozważamy zachowanie się zegarka w wodzie, dlatego możemy przyjąć:

Zatem znając wartość modułu prędkości możemy to dodatkowe ciśnienie obliczyć. Przyjmijmy zatem, że skaczemy z wysokości H do wody, i że lecimy na tyle pionowo (czyli prostopadle do lustra wody), że możemy pominąć poziomą składową prędkości (czyli wynikłą na przykład z rozbiegu czy wybicia)
W tak zdefiniowanym przypadku, mamy całkiem proste rozważanie spadku w polu grawitacyjnym. Czyli nasza prędkość początkowa jest równa zero ![]()
i cała finalna prędkość przy wejściu do wody wynika z przyspieszenia grawitacyjnego na drodze równej wysokości H.
Mamy zatem do czynienia z ruchem jednostajnie przyspieszonym, i pozwolę sobie tutaj pominąć wyprowadzenia opisujących go zależności, bo to dość podstawowa wiedza z fizyki.
Prędkość w takim ruchu to całka z przyspieszenia po czasie, a dla stałej wartości (tak możemy spokojnie założyć w naszych warunkach, pomijając zmianę wysokości, czy opór powietrza) przyspieszenia grawitacyjnego równego g, a konkretnie dla naszej pięknej planety g=9,81[m/s2] możemy zapisać, że:

Już założyliśmy vo=0 czyli sytuacja staje się banalna:

Zaś droga będąca z kolei całką z prędkości po czasie:

Ale So zdecydowanie będzie też równe zero. Co pozwala nam finalnie zapisać:

A tego już możemy wyliczyć sobie czas skoku tx

A stąd już blisko do obliczenia naszej prędkości, jaką osiągniemy na końcu skoku, czyli w momencie wejścia do wody:

mam nadzieję, że się nie pomyliłem jakoś drastycznie
I już finalnie, nasza wartość ciśnienia dynamicznego w momencie wejścia do wody podczas skoku z wysokości H może być opisana jako:

I tak, dla skoku na przykład z 3m, do wody dostajemy wartość dodatkowego ciśnienia dynamicznego pd(3m)=997⋅3⋅9,81 = 29,3kPa A to z kolei jest równe 0,29 atm, czyli w naszej nomenklaturze ‚wr’ było by to w przybliżeniu WR3m. Co sugeruje, że taki skok winien wytrzymać każdy zegarek, jaki ma – w sumie jakikolwiek WR. Czyli jeżeli ma WR30m (czyli wytrzymuje statyczne ciśnienie na poziomie 3atm) to winien spokojnie nie przerazić się takim skokiem do wody.
Generalnie, to co ciekawe (i o ile nie popełniłem jakiegoś błędu) to ta relacja wysokości naszego skoku i ciśnienia dynamicznego, to taka piękna wprost-proporcjonalność.
A jako, że wyniki ze względu na układ SI mamy w Pa (Paskalach) to możemy łatwo jeszcze przejść na ATM (atmosfery) mnożąc wynik w Paskalach przez ζ=0.00000987 lub a potem przeliczyć jeszcze na nasze ‚WR’ w metrach, mnożąc to razy 10.
Co finalnie daje nam ζ=0.0000987 = 987⋅10^7 [m/Pa]
Czyli finalnie, wymagane WR[m] dla skoku do wody z wysokości H[m] to:

Co w sumie zabawne, bo to właściwie jest zależność liniowa o współczynniku nachylenia krzywej równe praktycznie 1. Innymi słowy wychodzi nam 1:1 wysokość skoku do wymaganego zegarkowego WR.

Czy to na pewno jest tak?
Czy na pewno nie wiem, ale patrzę już drugi raz na te zależności i nie dostrzegam błędów w rozumowaniu. Co oczywiście nie znaczy, że ich tam nie ma. Jest to też oczywiście analiza dalece uproszczona i intuicja podpowiada, że pewnie jest do dogłebnej analizy potrzeba uwzględnienia większej ilości zjawisk, ich dynamiki itd. Jednak jak wspomniałem, nie jest to do końca dziedzina mechaniki w której jestem szczególnie biegły.
To powiedziawszy, nawet jeżeli te uproszczenia wprowadziły błąd rzędu x 10, to i tak, skok z 3m wymagał by co najwyżej WR30.
Dlaczego więc producenci stawiają taką tezę (nie wszyscy) że WR30 to tylko do mycia rąk?
Co jest jasne nie wiem tego, ale mogę sobie wyobrazić kilka potencjalnych przyczyn.
- Dla świętego spokoju. Takie zapisy niejako zdejmują albo przynajmniej mocno redukują ryzyko ewentualnych roszczeń gwarancyjnych.
- Dla podbicia sprzedaży zegarków z wyższym WR i używania tego jako argumentu do sprzedaży zegarków droższych.
- Bo nie jesteśmy pewni czy każda sztuka zegarka zachowa się jak te, które były poddane badaniom.
- …i pewnie jeszcze kilka innych powodów by się znalazło.

I na koniec
Co ważne, nie zachęcam nikogo do nadużywania swojego zegarka. Nie biorę odpowiedzialności za to co i jak zrobicie ze swoimi zegarkami!
To ćwiczenie dla mnie to taka rozrywka intelektualna. Nieco takiej zabawy moją ukochaną fizyką, i dużo frajdy z tego że znalazło się miejsce w hobby zegarkowym gdzie można pobawić się równaniami.
Miłego!








Napisz co o tym myślisz!